Selina Concise Mathematics Class 8 ICSE Solutions Chapter 13 Factorisation
Selina Publishers Concise Mathematics Class 8 ICSE Solutions Chapter 13 Factorisation
Factorisation Exercise 13A – Selina Concise Mathematics Class 8 ICSE Solutions
Factorise :
Question 1.
15x + 5
Solution:
![]()
Question 2.
![]()
Solution:
![]()
Question 3.
![]()
Solution:
![]()
Question 4.
![]()
Solution:
![]()
Question 5.
![]()
Solution:
![]()
Question 6.
![]()
Solution:
![]()
Question 7.
![]()
Solution:
![]()
Question 8.
![]()
Solution:
![]()
Question 9.
![]()
Solution:

Question 10.
![]()
Solution:

Question 11.
![]()
Solution:

Question 12.
![]()
Solution:

Question 13.
![]()
Solution:

Question 14.
![]()
Solution:

Question 15.
![]()
Solution:

Question 16.

Solution:

Question 17.
![]()
Solution:

Factorisation Exercise 13B – Selina Concise Mathematics Class 8 ICSE Solutions
Question 1.
Factorise : a2 + ax + ab + bx
Solution:

Question 2.
Factorise : a2 – ab – ca + bc
Solution:

Question 3.
Factorise : ab – 2b + a2 – 2a
Solution:

Question 4.
Factorise : a3 – a2 + a – 1
Solution:

Question 5.
Factorise : 2a – 4b – xa + 2bx
Solution:

Question 6.
![]()
Solution:

Question 7.
![]()
Solution:

Question 8.
![]()
Solution:

Question 9.
![]()
Solution:

Question 10.
![]()
Solution:

Question 11.
![]()
Solution:

Question 12.
![]()
Solution:

Question 13.
![]()
Solution:

Question 14.
![]()
Solution:

Question 15.
![]()
Solution:

Question 16.
![]()
Solution:

Question 17.
![]()
Solution:

Question 18.
![]()
Solution:

Question 19.
![]()
Solution:

Question 20.
![]()
Solution:

Factorisation Exercise 13C – Selina Concise Mathematics Class 8 ICSE Solutions
Note : a2 – b2 = (a + b) (a – b)
Question 1.
Factorise : 16 – 9x2
Solution:
![]()
Question 2.
Factorise : 1 – 100a2
Solution:
![]()
Question 3.
Factorise : 4x2 – 81y2
Solution:
![]()
Question 4.

Solution:

Question 5.
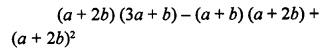
Factorise : (a+2b)2 – a2
Solution:

Question 6.
![]()
Solution:

Question 7.
![]()
Solution:

Question 8.
![]()
Solution:

Question 9.
![]()
Solution:

Question 10.
![]()
Solution:

Question 11.
![]()
Solution:

Question 12.
![]()
Solution:

Question 13.

Solution:

Question 14.
Evaluate :

Solution:

Question 15.
Evaluate :
(0.7)2 – (0.3)2
Solution:

Question 16.
Evaluate :
(4.5)2 – (1.5)2
Solution:

Question 17.
![]()
Solution:

Question 18.
![]()
Solution:

Question 19.
![]()
Solution:

Question 20.
![]()
Solution:

Factorisation Exercise 13D – Selina Concise Mathematics Class 8 ICSE Solutions
Question 1.
![]()
Solution:

Question 2.
![]()
Solution:

Question 3.
![]()
Solution:

Question 4.
![]()
Solution:

Question 5.
![]()
Solution:

Question 6.
![]()
Solution:

Question 7.
![]()
Solution:

Question 8.
![]()
Solution:

Question 9.
![]()
Solution:

Question 10.
![]()
Solution:

Question 11.
![]()
Solution:

Question 12.
![]()
Solution:

Question 13.
![]()
Solution:

Question 14.
![]()
Solution:

Question 15.
![]()
Solution:

Question 16.
![]()
Solution:

Question 17.
![]()
Solution:

Question 18.
![]()
Solution:

Question 19.
![]()
Solution:

Question 20.
![]()
Solution:

Question 21.
![]()
Solution:

Question 22.
![]()
Solution:

Question 23.
![]()
Solution:

Question 24.
![]()
Solution:

Question 25.
![]()
Solution:

Factorisation Exercise 13E – Selina Concise Mathematics Class 8 ICSE Solutions
Question 1.
In each case find whether the trinomial is a perfect square or not:

Solution:


Question 2.
Factorise completely 2 – 8x2.
Solution:

Question 3.
Factorise completely : 8x2y – 18y3
Solution:

Question 4.
Factorise completely : ax2 – ay2
Solution:

Question 5.
Factorise completely : 25x3 – x
Solution:

Question 6.
Factorise completely : a4 – b4
Solution:

Question 7.
Factorise completely : 16x4 – 81y4
Solution:

Question 8.
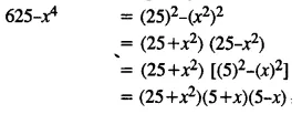
Factorise completely : 625 – x4
Solution:

Question 9.
Factorise completely : x2 – y2 – 3x – 3y
Solution:

Question 10.
Factorise completely : x2 – y2 – 2x + 2y
Solution:

Question 11.
Factorise completely : 3x2 + 15x – 72
Solution:

Question 12.
Factorise completely : 2a2 – 8a – 64
Solution:

Question 13.
Factorise completely : 5b2 + 45b + 90
Solution:

Question 14.
Factorise completely : 3x2y + 11xy + 6y
Solution:

Question 15.
Factorise completely : 5ap2 + 11ap + 2a
Solution:

Question 16.
Factorise completely : a2 + 2ab + b2 – c2
Solution:

Question 17.
Factorise completely : x2 + 6xy + 9y2 + x + 3y
Solution:

Question 18.
Factorise completely : 4a2 – 12ab + 9b2 + 4a – 6b
Solution:

Question 19.
Factorise completely : 2a2b2 – 98b4
Solution:

Question 20.
Factorise completely : a2 – 16b2 – 2a – 8b
Solution:

Factorisation Exercise 13F – Selina Concise Mathematics Class 8 ICSE Solutions
Question 1.
Factorise :

Solution:

Question 2.
Factorise :

Solution:


Question 3.
Factorise :

Solution:

>
Question 4.
Factorise :

Solution:


Question 5.
Factorise :

Solution:

Question 6.
Factorise :


Solution:


Question 7.
Factorise xy2 – xz2, Hence, find the value of:
![]()
Solution:

Question 8.
Factorise :

Solution:


Question 9.
Factorise a2b – b3 Using this result, find the value of 1012 × 100 – 1003.
Solution:

Question 10.
Evaluate (using factors): 3012 × 300 – 3003.
Solution:
