Selina Concise Mathematics Class 8 ICSE Solutions Chapter 1 Rational Numbers
Selina Publishers Concise Mathematics Class 8 ICSE Solutions Chapter 1 Rational Numbers
Rational Numbers Exercise 1A – Selina Concise Mathematics Class 8 ICSE Solutions
Question 1.
Add, each pair of rational numbers, given below, and show that their addition (sum) is also a rational number:

Solution:





Question 2.
Evaluate:

Solution:





Question 3.
Evaluate:

Solution:




Question 4.
For each pair of rational numbers, verify commutative property of addition of rational numbers:

Solution:







Question 5.
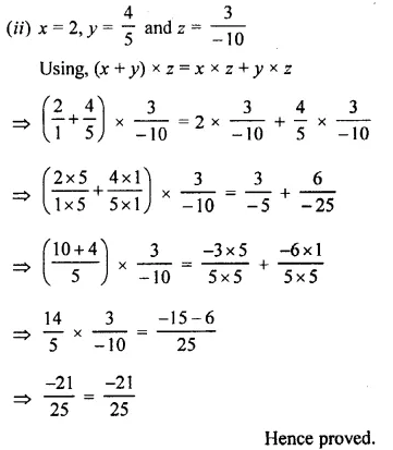
For each set of rational numbers, given below, verify the associative property of addition of rational numbers:

Solution:








Question 6.
Write the additive inverse (negative) of:

Solution:

Question 7.
Fill in the blanks:

Solution:

Question 8.
State, true or false:

Solution:

Rational Numbers Exercise 1B – Selina Concise Mathematics Class 8 ICSE Solutions
Question 1.
Evaluate:

Solution:




Question 2.
Subtract:

Solution:




Question 3.
The sum of two rational numbers is \(\frac { 9 }{ 20 }\). If one of them is \(\frac { 2 }{ 5 }\), find the other.
Solution:

Question 4.
The sum of the two rational numbers is \(\frac { -2 }{ 3 }\). If one of them is \(\frac { -8 }{ 5 }\), find the other.
Solution:

Question 5.
The sum of the two rational numbers is -6. If one of them is \(\frac { -8 }{ 5 }\), find the other.
Solution:

Question 6.
Which rational number should be added to \(\frac { -7 }{ 8 }\) to get \(\frac { 5 }{ 9 }\) ?
Solution:

Question 7.
Which rational number should be added to \(\frac { -5 }{ 9 }\) to get \(\frac { -2 }{ 3 }\) ?
Solution:

Question 8.
Which rational number should be subtracted from \(\frac { -5 }{ 6 }\) to get \(\frac { 4 }{ 9 }\) ?
Solution:

Question 9.
(i) What should be subtracted from -2 to get \(\frac { 3 }{ 8 }\)
(ii) What should be added to -2 to get \(\frac { 3 }{ 8 }\)
Solution:


Question 10.
Evaluate:

Solution:



Rational Numbers Exercise 1C – Selina Concise Mathematics Class 8 ICSE Solutions
Question 1.
Evaluate:

Solution:


Question 2.
Multiply:

Solution:


Question 3.
Evaluate:

Solution:



Question 4.
Multiply each rational number, given below, by one (1):

Solution:

Question 5.
For each pair of rational numbers, given below, verify that the multiplication is commutative:

Solution:


Question 6.
Write the reciprocal (multiplicative inverse) of each rational number, given below :

Solution:

Question 7.
Find the reciprocal (multiplicative inverse) of:

Solution:

Question 8.

Solution:


Question 9.

Solution:
>

Question 10.
Name the multiplication property of rational numbers shown below :

Solution:

Question 11.
Fill in the blanks:
(i) The product of two positive rational numbers is always ……………
(ii) The product of two negative rational numbers is always ……………
(iii) If two rational numbers have opposite signs then their product is always …………..
(iv) The reciprocal of a positive rational number is ………. and the reciprocal of a negative rational number is ……………
(v) Rational number 0 has ………….. reciprocal.
(vi) The product of a rational number and its reciprocal is ………..
(vii) The numbers ……….. and ……….. are their own reciprocals.
(viii) If m is reciprocal of n, then the reciprocal of n is ………….
Solution:

Rational Numbers Exercise 1D – Selina Concise Mathematics Class 8 ICSE Solutions
Question 1.
Evaluate:

Solution:




Question 2.
Divide:

Solution:


Question 3.
The product of two rational numbers is -2. If one of them is \(\frac { 4 }{ 7 }\), find the other.
Solution:

Question 4.
The product of two numbers is \(\frac { -4 }{ 9 }\). If one of them is \(\frac { -2 }{ 27 }\), find the other.
Solution:

Question 5.
m and n are two rational numbers such that

Solution:

Question 6.
By what number must \(\frac { -3 }{ 4 }\) be multiplied so that the product is \(\frac { -9 }{ 16 }\) ?
Solution:

Question 7.
By what number should \(\frac { -8 }{ 13 }\) be multiplied to get 16?
Solution:

Question 8.
If 3\(\frac { 1 }{ 2 }\) litres of milk costs ₹49, find the cost of one litre of milk?
Solution:

Question 9.
Cost of 3\(\frac { 2 }{ 5 }\) metre of cloth is ₹88\(\frac { 1 }{ 2 }\). What is the cost of 1 metre of cloth?
Solution:

Question 10.
Divide the sum of \(\frac { 3 }{ 7 }\) and \(\frac { -5 }{ 14 }\) by \(\frac { -1 }{ 2 }\).
Solution:

Question 11.

Solution:



Question 12.
The product of two rational numbers is -5. If one of these numbers is \(\frac { -7 }{ 15 }\), find the other.
Solution:

Question 13.
Divide the sum of \(\frac{5}{8}\) and \(\frac{-11}{12}\) by the difference of \(\frac{3}{7}\) and \(\frac{5}{14}\)
Solution:


Rational Numbers Exercise 1E – Selina Concise Mathematics Class 8 ICSE Solutions
Question 1.

Solution:

Question 2.

Solution:

Question 3.
Insert one rational number between (0 7 and 8 (ii) 3.5 and 5
(i) 2 and 3.2
(ii) 3.5 and 5
(iii) 2 and 3.2
(iv) 4.2 and 3.6
(v) \(\frac { 1 }{ 2 }\) and 2
Solution:

Question 4.
Insert two rational numbers between
(i) 6 and 7
(ii) 4.8 and 6
(iii) 2.7 and 6.3
Solution:


Question 5.
Insert three rational numbers between
(i) 3 and 4
(ii) 10 and 12
Solution:

Question 6.
Insert five rational numbers between \(\frac { 3 }{ 5 }\) and \(\frac { 2 }{ 5 }\)
Solution:

Question 7.
Insert six rational numbers between \(\frac { 5 }{ 6 }\) and \(\frac { 8 }{ 9 }\)
Solution:


Question 8.
Insert seven rational numbers between 2 and 3.
Solution:
