Selina Concise Mathematics Class 7 ICSE Solutions Chapter 12 Simple Linear Equations (Including Word Problems)
Selina Publishers Concise Mathematics Class 7 ICSE Solutions Chapter 12 Simple Linear Equations (Including Word Problems)
Simple Linear Equations Exercise 12A – Selina Concise Mathematics Class 7 ICSE Solutions
Solve the following equations :
Question 1.
x + 5 = 10
Solution:

Question 2.
2 + y = 7
Solution:

Question 3.
a – 2 = 6
Solution:

Question 4.
x – 5 = 8
Solution:

Question 5.
5 – d= 12
Solution:

Question 6.
3p = 12
Solution:

Question 7.
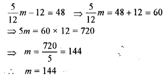
14 = 7m
Solution:

Question 8.
2x = 0
Solution:
![]()
Question 9.
\(\frac { x }{ 9 }\) = 2
Solution:

Question 10.
\(\frac { y }{ -12 }\) = -4
Solution:

Question 11.
8x-2 =38
Solution:

Question 12.
2x + 5 = 5
Solution:

Question 13.
5x – 1 = 74
Solution:

Question 14.
14 = 27-x
Solution:

Question 15.
10 + 6a = 40
Solution:

Question 16.

Solution:

Question 17.

Solution:

Question 18.
12 = c – 2
Solution:

Question 19.
4 = x- 2.5
Solution:

Question 20.
![]()
Solution:

Question 21.

Solution:

Question 22.
p + 0.02 = 0.08
Solution:

Question 23.
![]()
Solution:

Question 24.
![]()
Solution:

Question 25.
1.3b = 39
Solution:

Question 26.

Solution:

Question 27.

Solution:

Question 28.
2a – 3 =5
Solution:

Question 29.
3p – 1 = 8
Solution:

Question 30.
9y -7 = 20
Solution:

Question 31.
2b – 14 = 8
Solution:

Question 32.
![]()
Solution:

Question 33.

Solution:

Simple Linear Equations Exercise 12B – Selina Concise Mathematics Class 7 ICSE Solutions
Question 1.
8y – 4y = 20
Solution:

Question 2.
9b – 4b + 3b = 16
Solution:

Question 3.
5y + 8 = 8y – 18
Solution:

Question 4.
6 = 7 + 2p -5
Solution:

Question 5.
8 – 7x = 13x + 8
Solution:

Question 6.
4x – 5x + 2x = 28 + 3x
Solution:

Question 7.
9 + m = 6m + 8 – m
Solution:

Question 8.
24 = y + 2y + 3 + 4y
Solution:

Question 9.
19x -+ 13 -12x + 3 = 23
Solution:

Question 10.
6b + 40 = – 100 – b
Solution:

Question 11.
6 – 5m – 1 + 3m = 0
Solution:

Question 12.
0.4x – 1.2 = 0.3x + 0.6
Solution:

Question 13.
6(x+4) = 36
Solution:

Question 14.
9 ( a+ 5) + 2 = 11
Solution:

Question 15.
4 ( x- 2 ) = 12
Solution:

Question 16.
-3 (a- 6 ) = 24
Solution:

Question 17.
7 ( x-2) = 2 (2x -4)
Solution:

Question 18.
(x-4) (2x +3 ) = 2x²
Solution:

Question 19.
21 – 3 ( b-7 ) = b+ 20
Solution:

Question 20.
x (x +5 ) = x² +x + 32
Solution:

Simple Linear Equations Exercise 12C – Selina Concise Mathematics Class 7 ICSE Solutions
Solve
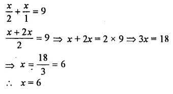
Question 1.

Solution:

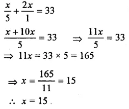
Question 2.
![]()
Solution:

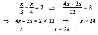
Question 3.

Solution:

Question 4.

Solution:

Question 5.

Solution:

Question 6.

Solution:

Question 7.

Solution:

Question 8.
![]()
Solution:

Question 9.

Solution:

Question 10.

Solution:

Question 11.

Solution:

Question 12.
0.6a +0.2a = 0.4 a +8
Solution:

Question 13.
p + 1.4p = 48
Solution:

Question 14.
10% of x = 20
Solution:

Question 15.
y + 20% of y = 18
Solution:

Question 16.
x – 13% of x = 35
Solution:

Question 17.
![]()
Solution:

Question 18.

Solution:

Question 19.

Solution:

Question 20.

Solution:

Question 21.
![]()
Solution:

Question 22.

Solution:

Question 23.
15 – 2 (5-3x ) = 4 ( x-3 ) + 13
Solution:

Question 24.

Solution:

Question 25.
21 – 3 (x – 7) = x + 20
Solution:

Question 26.

Solution:

Question 27.

Solution:

Question 28.

Solution:

Question 29.

Solution:

Question 30.
2x + 20% of x = 12.1
Solution:

Simple Linear Equations Exercise 12D – Selina Concise Mathematics Class 7 ICSE Solutions
Question 1.
One-fifth of a number is 5, find the number.
Solution:

Question 2.
Six times a number is 72, find the number.
Solution:

Question 3.
If 15 is added to a number, the result is 69, find the number.
Solution:

Question 4.
The sum of twice a number and 4 is 80, find the number.
Solution:

Question 5.
The difference between a number and one- fourth of itself is 24, find the number.
Solution:

Question 6.
Find a number whose one-third part exceeds its one-fifth part by 20.
Solution:

Question 7.
A number is as much greater than 35 as is less than 53. Find the number.
Solution:

Question 8.
The sum of two numbers is 18. If one is twice the other, find the numbers.
Solution:

Question 9.
A number is 15 more than the other. The sum of of the two numbers is 195. Find the numbers.
Solution:

Question 10.
The sum of three consecutive even numbers is 54. Find the numbers.
Solution:

Question 11.
The sum of three consecutive odd numbers is 63. Find the numbers.
Solution:

Question 12.
A man has ₹ x from which he spends ₹6. If twice of the money left with him is ₹86, find x.
Solution:

Question 13.
A man is four times as old as his son. After 20 years, he will be twice as old as his son at that time. Find their present ages.
Solution:

Question 14.
If 5 is subtracted from three times a number, the result is 16. Find the number.
Solution:

Question 15.
Find three consecutive natural numbers such that the sum of the first and the second is 15 more than the third.
Solution:

Question 16.
The difference between two numbers is 7. Six times the smaller plus the larger is 77. Find the numbers.
Solution:

Question 17.
The length of a rectangular plot exceeds its breadth by 5 metre. If the perimeter of the plot is 142 metres, find the length and the breadth of the plot.
Solution:

Question 18.
The numerator of a fraction is four less than its denominator. If 1 is added to both, is numerator and denominator, the fraction becomes \(\frac { 1 }{ 2 }\) Find the fraction.
Solution:

Question 19.
A man is thrice as old as his son. After 12 years, he will be twice as old as his son at that time. Find their present ages.
Solution:

Question 20.
A sum of ₹ 500 is in the form of notes of denominations of ₹ 5 and₹ 10. If the total number of notes is 90, find the number of notes of each type.
Solution:
